- Методический отдел
- Тематика консультаций
- Информационно-методические письма
- Исследовательские проекты
- Повышение квалификации
- Детские библиотеки области
- Профессиональные конкурсы
- Региональные проекты
- Профессиональные события
- Новости для профессионалов
- Документы для профессионалов
- Программа «Большое чтение»
- Вестник «Волшебная шляпа»
-
Мероприятия
-
Проекты
-
Конкурсы
-
Выставки
-
Выбирай и Читай!
-
Краеведение
-
Театр книги «Корноватка»
-
Музей детской книги
-
Век XX - век необычайный
-
Спроси библиотекаря
- Главная
- > Для коллег
- > Исследовательские проекты
- > С книгой по родному краю
С книгой по родному краю
Зачастую дети не придают краеведению особого значения. Только спустя годы они понимают, насколько важно знать историю своей малой Родины, бережно относиться к природе, ценить культуру и традиции. В учебных программах школ и других образовательных учреждений краеведению уделяется недостаточно внимания, а краеведческих книг издается мало. По данным Центральной универсальной научной библиотеки Ивановской области в 2020 году в регионе было выпущено всего 6 изданий для детей, что составляет 2,8 % от общего числа документов. В таких условиях краеведческая работа библиотек становится особенно актуальной.
По мнению специалистов, библиотечное краеведение следует рассматривать как сложную структуру с многочисленными внешними и внутренними связями. Стоит обратить внимание на формулировку, предложенную профессором, библиографом и преподавателем Николаем Николаевичем Щербой. Под библиотечным краеведением он понимает «весь комплекс многоаспектной деятельности библиотечных работников по поиску, выявлению, приобретению, организации, учету, всестороннему раскрытию содержания произведений печати, библиографическому сопровождению запросов общества и его отдельных представителей; пропаганду знаний о крае библиотечными и библиографическими средствами, разработку научных проблем, в том числе библиографического и библиотековедческого направлений, методическое обеспечение и т.д.» (Щерба, Н.Н. Библиотечное и библиографическое краеведение / сост. А.В. Маркина-Щерба. – Москва : Книжная палата, 1995. – 189 с.).
Руководство по краеведческой деятельности общедоступных (публичных) библиотек Российской Федерации, принятое на Всероссийском библиотечном конгрессе в 2018 году, определяет следующие функции краеведческой работы (Руководство по краеведческой деятельности общедоступных (публичных) библиотек РФ // Российская библиотечная ассоциация : [сайт]. – 2022. – URL: http://www.rba.ru/content/about/doc/ruk_kraev_pub.pdf (дата обращения: 01.04.2022). ):
- формирование специального фонда изданий;
- сбор, обработка и хранение неопубликованных краеведческих документов;
- ведение краеведческих каталогов, картотек, баз данных;
- тематическое библиотечно-информационное обслуживание читателей;
- популяризация и распространение краеведческих знаний;
- выпуск краеведческих информационных продуктов;
- исследовательская и поисковая деятельность.
В начале 2022 года методический отдел Ивановской областной библиотеки для детей и юношества провел прикладное библиотековедческое исследование, посвященное краеведческой работе библиотек региона, обслуживающих подрастающее поколение. В исследовании приняли участие 26 читален. Среди них специализированные детские библиотеки Вичуги, Иванова, Кинешмы, Кохмы, Приволжска, Пучежа, Савино, Фурманова, Шуи, Южи, Ивановского района, а также структурные подразделений общедоступных библиотек Ильинского, Лежнева, Пестяков, Родников, Тейкова, Комсомольского и Шуйского районов.
Цели и задачи исследования:
- проанализировать краеведческую деятельность библиотек Ивановской области, работающих с детьми и юношеством;
- выявить формы краеведческой работы, востребованные у детей и юношества;
- определить уровень комплектования краеведческими изданиями;
- разработать рекомендации, направленные на совершенствование краеведческой деятельности библиотек области, работающих с детьми и юношеством.
Объектом исследования стали сотрудники библиотек Ивановской области, занимающиеся библиотечно-информационным обслуживанием детей и юношества. Предметом выступила краеведческая работа. Для решения поставленных задач была разработана анкета, содержащая 13 вопросов.
Всего нами было получено 26 заполненных опросных листов. По результатам исследования сложилась картина, характеризующая краеведческую деятельность муниципальных библиотек региона, предлагаются рекомендации, повышающие эффективность этой работы. Обратимся к анализу опросных листов.
Краеведение предусматривает всестороннее изучение вопросов, касающихся местной территории: ее истории, географии, литературы, археологии, этнографии, культуры. Чтобы определить, какие виды отраслевого краеведения вызывают интерес у читателей, мы спросили: «Какие направления краеведческой работы наиболее востребованы в библиотеке?»
Ответы участников исследования показывают, что историческое краеведение, наряду с литературным, пользуется большим вниманием у аудитории (24 и 20 ответов соответственно), менее востребовано экологическое краеведение (11 упоминаний).
По мнению библиотекарей, мероприятия по краеведению в читальнях нашей области проводятся чаще всего для учащихся начального и среднего школьного звена. Краеведческие проекты для старшеклассников менее востребованы, что связано с особенностями организации учебного процесса.
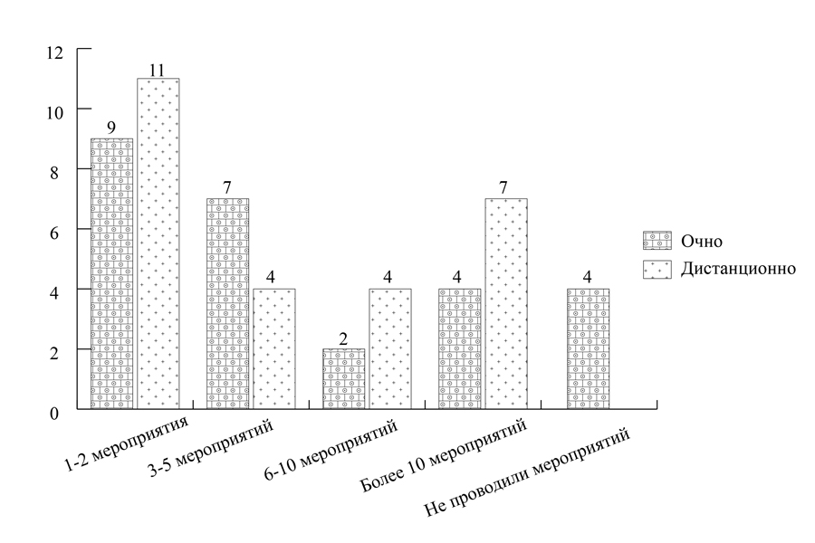
Из-за пандемии в 2021 году библиотеки продолжили работать в режиме ограничений. В предлагаемых условиях коллеги реализовали краеведческие инициативы в очном и дистанционном форматах для читателей разных категорий. Офлайн-мероприятия не проводили в четырех библиотеках: филиале N 7 централизованной библиотечной системы детских библиотек г. Иваново, детских отделах Ильинской центральной библиотеки, Центральной библиотеки п. Савино, МБО Шуйского района. Наибольшее количество очных инициатив реализовали детская библиотека-филиал ЦБС г. Вичуги (25), Публичная библиотека Родниковской РЦБС (26), Городская централизованная библиотечная система г. Фурманова (19).
Все респонденты отметили, что у них в библиотеках проводились дистанционные мероприятия. Площадки реализации: сайты и представительства в социальных сетях. Среднее количество проведенных онлайн-инициатив приведем в таблице. Наиболее активно в интернет-пространстве работали Городская ЦБС г. Фурманова: коллеги провели 19 тематических мероприятий.
Среди форм краеведческой работы, востребованных у детей, коллеги отметили следующие: викторины (14), экскурсии (11), квесты (9), презентации (8), игровые занятия (7), выставки и громкие чтения (по 5), беседы (4), краеведческие уроки, встречи с земляками (по 3), конкурсы (2), краеведческие конференции, вечера памяти, обзоры литературы, познавательные часы (по 1).
Подростковая и юношеская аудитория предпочитает: квесты и экскурсии (8), викторины (5), беседы (4), игры и краеведческие уроки (по 3), выставки, конкурсы, встречи с земляками, краеведческие чтения и конференции, презентации (по 2), вечера памяти, мастер-классы и обзоры литературы (по 1).
Одна из распространенных форм организации досуга читателей в библиотеках – клубы по интересам. Согласно опросным листам, любительские объединения краеведческой направленности функционируют в шести библиотеках – респондентах исследования. Объединение «Кладезь» работает в Седельницком сельском филиале Комсомольской городской библиотеки. Для учащихся 4–8 классов действует краеведческий клуб «Соприкосновение» при Городской центральной библиотеке г. Фурманова. Более 10 лет в детском отделе им. И.В. Ганабина Южской межпоселенческой ЦБ функционирует клуб «Истоки». Объединение с таким же названием работает в детском отделе Савинской центральной библиотеки. В Пестяковской городской библиотеке организовано досуговое краеведческое объединение «Ровесник», а в Тейковской городской библиотеке есть клуб по литературному краеведению.
Несомненно, основу краеведческой деятельности библиотек составляет библиотечный фонд. В 2021 году респонденты отмечали поступление книг краеведческой тематики в двадцать одну библиотеку. Пять читален не получали краеведческих книг: это детская библиотека Кохомской ЦБС, филиал N 6 ЦБС детских библиотек г. Иваново, детский отдел Лежневской библиотеки, Седельницкий сельский филиал Комсомольской городской библиотеки, детский отдел Ильинской центральной библиотеки.
|
|
Количество упоминаний, ед. |
Доля, % |
|
1-2 книги |
2 |
7,7 |
|
3-5 книг |
8 |
30,8 |
|
6-10 книг |
4 |
15,4 |
|
Более 10 книг |
7 |
26,9 |
|
Не было поступлений |
5 |
19,2 |
Отметим, что в Городской централизованной системе г. Фурманова и Публичной библиотеке Родниковской районной ЦБС комплектование краеведческими новинками в 2021 г. находилось на более высоком уровне (82 и 147 изданий) по сравнению с другими читальнями, принявшими участие в исследовании.
Подписка на местные периодические издания оформлена в семнадцати библиотеках (65,4%), в девять читален нашего края они не поступают.
Как известно, раскрытию библиотечный фондов способствует выставочная работа. Мы выяснили «Сколько выставок по краеведению было оформлено в 2021 году?» Ответы коллег распределились следующим образом:
|
|
Количество упоминаний, ед. |
Доля, % |
|
1-2 выставки |
6 |
23,1 |
|
3-5 выставок |
11 |
42,3 |
|
6-10 выставок |
5 |
19,2 |
|
Более 10 выставок |
3 |
11,5 |
|
Не оформляли выставки |
1 |
3,9 |
В детских отделах Центральной библиотеки ЦБС г. Кохмы и Приволжской городской библиотеки было оформлено по двадцать пять тематических экспозиций.
Анализ опросных листов показал, что 84,6 % библиотек ведут тематические папки или базы данных по краеведению. Работа по формированию фонда неопубликованных документов требует внимания в детском отделе Ильинской центральной библиотеки, филиалах NN 3, 5, 10 системы детских библиотек г. Иваново.
В детском отделе Центральной библиотеки ЦБС г. Кохмы ведется краеведческая картотека в электронном виде, а в Публичной библиотеке Родниковской РЦБС производится оцифровка статей из местной газеты. Отметим, что 82 тематические папки пополняются в детском отделе Савинской центральной библиотеки, 56 – в Городской центральной библиотеке г. Фурманова.
Для популяризации краеведческих знаний коллеги разрабатывают тематические программы и проекты.
В 2021 году библиотеки области предложили своим читателям следующие инициативы:
- «Война глядит сквозь книжные страницы»: литературно-исторический проект (МБУК ЦБС г.о. Вичуга);
- «Пучеж – мой городок на великой реке» (Детская библиотека МУК МЦБС Пучежского района);
- «Пусть поколения помнят»: проект по краеведческому и патриотическому воспитанию (Детский отдел МКУ «Центральная городская библиотека» г. Приволжска);
- «Малая улица – большая любовь!» (Новоталицкая сельская детская библиотека «Золотой ключик» – филиал
- МУ РЦБС Ивановского района);
- «Возрождение»: комплексная программа гражданского
- и патриотического воспитания (МКУК «Южская межпоселенческая центральная библиотека»);
- «Дорогами края»: краеведческий проект (Писцовский сельский филиал МКУК «Городская библиотека» г. Комсомольска)
- «Земляки-юбиляры. Знаменитые люди Ивановского края»: культурно-просветительский проект (Библиотека-филиал № 5 МУ «Кинешемская городская Централизованная библиотечная система»);
- «Живи и процветай наш Пестяковский край»: краеведческая программа (МУ «Библиотека» Пестяковского г.п.);
- «Кохомские меценаты-подвижники культуры» (Детский отдел Центральной библиотеки МБУ «Централизованная библиотечная система г.о. Кохма»).
Обозначенные программы адресованы разновозрастной аудитории и в большинстве своем реализуются всей библиотекой или ЦБС.
Мы обратились к коллегам с просьбой описать наиболее успешные очные и дистанционные краеведческие инициативы библиотек в 2021 году.
Детский отдел ЦБС г. Шуи провел краеведческий квест «Город над рекой стоит, ремеслами он знаменит», рассказывающий аудитории о народных промыслах города. Познакомившись с шуйскими ремеслами, ребята попробовали свои силы в производстве тканей, пошиве одежды, сборке мебели. Также читатели узнали историю мыловарения – промысла, который отражен на гербе города. Живой отклик аудитории получили загадки, историческое лото, видеоролики и мультфильмы о народных ремеслах.
Детский отдел центральной библиотеки им. В.А. Пазухина Кинешемской городской ЦБС в 2021 году презентовал интерактивную папку-лэпбук «Край мой – гордость моя», которая повествует о трудовом подвиге кинешемцев в годы Великой Отечественной войны. Материал включает семь разделов: «Общая информация», «Вклад города в Победу», «Ивановские предприятия в годы войны», «Сведения о тружениках тыла и ученых, писателях и поэтах ивановского края». На страницах папки размещены кармашки, необычные конверты для пазлов, карточек с тематической информацией. Вызвал интерес юных кинешемцев онлайн-квест «Где эта улица, где этот дом». По легенде, в особняке купца Миндовского похитили известную картину. За расследование преступления взялся детектив Антон. Участники игры собирали улики, исследовали место преступления, опрашивали подозреваемых и определяли преступника.
Краеведческие экскурсии по селу Ново-Талицы «Край родной, навек любимый!» организует сельская детская библиотека «Золотой ключик» МУ РЦБС Ивановского района. Разработано два маршрута: до площади им. К.И. Рупасова и до усадьбы адмирала Н.И. Молчанова. В обоих случаях отправной точкой является библиотека. Экскурсия очень востребована у читателей новоталицкой библиотеки.
Ежегодно коллектив детского отдела Южской МЦБ отмечает день рождения поэта-земляка И.В. Ганабина, чье имя носит структурное подразделение. В 2021 году в краеведческом клубе «Истоки» прошел поэтический вечер «Дар, предназначенный судьбой», направленный на приобщение подрастающего поколения к творчеству поэта, стихи которого пропитаны глубиной чувств и любовью к родным местам. Вниманию школьников была представлена слайд-презентация о жизни и творчестве И.В. Ганабина, звучали его стихи, а также сочинения местных авторов, посвященные известному земляку.
В рамках краеведческого культурно-просветительского проекта «Чтобы знать свой город» в библиотеке-филиале № 5 МУ «Кинешемская городская Централизованная библиотечная система» состоялось мероприятие «#ПрочтиКинешму». Виртуальная прогулка познакомила юных читателей с памятниками архитектуры, историческими зданиями города: Троицко-Успенским собором, Благовещенской и Вознесенской церквями, Красными и Белыми торговыми рядами, бывшими зданиями Дворянского собрания и Городской Управы, торговым домом Елисова, домами Тихомирова и Миндовского. Дети узнали любопытные факты о жизни известных людей, имена которых связаны с г. Кинешмой.
В Пестяковской городской библиотеке прошел краеведческий конкурс для старшеклассников «Мой край родной – моя история живая», посвященный 90-летию района. Инициатива была направлена на развитие интереса у молодежи к истории родного края. Конкурсная программа включала викторины по краеведению и творческие задания. К 105-летию со дня рождения М.А. Дудина состоялся поэтический марафон «Все в мире перемелется, останется любовь». Для читателей была оформлена выставка книг поэта-фронтовика, организованы громкие чтения его стихов. Викторину «Угадай улицу по виду с крыши» реализовали коллеги из филиала № 7 МУК Централизованная библиотечная система детских библиотек г. Иваново.
Выводы
Анализ опросных листов показал, что в настоящее время большинство проблем в работе муниципальных библиотек связано с финансовыми вопросами, к которым, прежде всего, относится недостаточное комплектование фондов. Новой краеведческой литературы издается крайне мало, существующая устаревает, поэтому краеведческие фонды не всегда соответствуют запросам читателей. Развитию издательской и исследовательской работы в библиотеках-респондентах препятствует слабая материально-техническая база. Из положительных сторон – разнообразие видов и тематики мероприятий по популяризации краеведения.
- В девяти библиотеках, принявших участие в исследовании, разработаны проекты или программы по краеведению.
- В библиотеках региона, работающих с детьми и юношеством, востребовано историческое и литературное краеведение.
- Чаще мероприятия по краеведению проводятся для учащихся начального и среднего школьного звена.<
- В 2021 году в читальнях края было проведено от одного до пяти очных краеведческих мероприятий.<
- Респонденты отмечают, что во всех библиотеках организовывались дистанционные инициативы по краеведению.
- У детей востребованы следующие формы краеведческой работы: викторины, экскурсии, квесты, презентации, игровые занятия.
- Подростковая и юношеская аудитории предпочитают квесты, экскурсии, викторины, беседы, игры и краеведческие уроки.
- 23,1 % библиотек организуют на своей базе любительские объединения краеведческой направленности.
- 80,8 % библиотек в 2021 году получили от трех до пяти изданий краеведческой тематики.
- 34,6 % библиотек не имеют подписку на местные периодические издания.
- От трех до пяти выставок было оформлено в 42,3 % библиотек в 2021 году.
- <84,6 % библиотек ведут тематические папки или базы данных по краеведению.
Рекомендации:
- Вести планомерную работу по всестороннему раскрытию краеведческих ресурсов.
- Продолжать сбор и хранение неопубликованных документов (рукописи и воспоминания местных жителей, фото-, видео- и аудиоматериалы).
- Создавать собственные электронные краеведческие ресурсы.
- Вести аналитико-синтетическую обработку местных периодических изданий.
- Самостоятельно формировать электронные краеведческие базы данных.
- Разрабатывать совместные с читателями краеведческие инициативы.
- Осуществлять исследовательскую работу, привлекать организации-партнеры (учебные заведения, учреждения дополнительного образования).
- Развивать издательскую работу по краеведению.
- Создавать краеведческие мини-музеи / уголки.
На сегодняшний день роль библиотек в формировании локальной идентичности трудно переоценить. Именно они являются хранителями информационных краеведческих ресурсов, источниками краеведческой информации для населения, при этом оставаясь наиболее доступными социально-культурными институциями. Краеведение воспитывает у детей и юношества причастность к истории своих предков, заставляет задуматься о прошлом и настоящем через поиск, исследование, изучение традиций и обычаев родного края, то есть формирует те ценности, которые необходимы именно сегодня: патриотизм, духовность, национальное самосознание.
- Новости
- Анонсы
- О библиотеке
- Отделы
- Документы
- Электронный каталог
-
Для коллег
- Методический отдел
- Тематика консультаций
- Информационно-методические письма
- Исследовательские проекты
- Повышение квалификации
- Детские библиотеки области
- Профессиональные конкурсы
- Региональные проекты
- Профессиональные события
- Новости для профессионалов
- Документы для профессионалов
- Программа «Большое чтение»
- Вестник «Волшебная шляпа»
- Информ-страница
- Контакты
Адрес:
153000, г. Иваново, ул. Крутицкая, д. 9
Телефоны (код города - 4932):
- 30-87-06 – Администрация
- 30-17-36 – Бухгалтерия, Отдел комплектования и обработки
- 32-56-44 – Методический отдел, Отдел автоматизации
- 32-80-88 – Отдел «Детство», Зал литературы на иностранных языках
- 32-76-80 – Зал обслуживания читателей отдела «Отрочество. Юность»
- 41-44-86 – Отдел «Отрочество. Юность», Зал литературы по краеведению
- 32-97-32 – Молодежный центр Отдела поддержки творческих инициатив
- 30-17-26 – Зал литературы по искусству
- 41-44-86 – Театр книги «Корноватка»
Время работы библиотеки:
с 10.00 до 18.00 ежедневно, без выходных
Летом (июнь, июль, август): с 10.00 до 18.00, выходные дни - суббота и воскресенье
Последний день месяца - санитарный день
Карта сайта(с) Государственное бюджетное учреждение Ивановской области «Ивановская областная библиотека для детей и юношества», 2007-2026
Продолжая использование сайта, вы соглашаетесь c использованием нами файлов cookies. Это абсолютно безопасно и может помочь нам улучшить работу сайта.





